Get 30+ pages use property 11 to estimate the value of the integral analysis in Doc format. 2 0 e x 2 d x 1645262776 0 2 e x 2 d x 1645262776. Displaystyle iintlimits_S sqrt4 - x2 y2 dA S x y mid x2 y2 le 1 x ge 0 Answer. 11Example 1 Using n 4 n 4 and all three rules to approximate the value of the following integral. Read also estimate and use property 11 to estimate the value of the integral Evaluate the definite integral.
8where m is the absolute minimum and M is the absolute maximum of f on the interval a b then. Int_02 frac11x2 d x Announcing Numerades 26M Series A led by IDG Capital.

Ex 7 7 11 Integrate Root X2 8x 7 Dx Class 12 Ex 7 7 Use Property 11 to estimate the value of the integral.
| Topic: Use Property 11 to estimate the value of the integral. Ex 7 7 11 Integrate Root X2 8x 7 Dx Class 12 Ex 7 7 Use Property 11 To Estimate The Value Of The Integral |
| Content: Summary |
| File Format: PDF |
| File size: 725kb |
| Number of Pages: 7+ pages |
| Publication Date: October 2021 |
| Open Ex 7 7 11 Integrate Root X2 8x 7 Dx Class 12 Ex 7 7 |
2 0 ex2dx 0 2 e x 2 d x.

Absolute value property Property 6 is used to estimate the size of an integral whose integrand is both positive and negative which often makes the direct use of 5 awkward. 8Use this property to estimate the value of the integral. In this case we can also use these results to get a better estimate for the actual value of the series as well. 28When the curve is below the axis the value of the integral is negative. 59-64 Use Property 8 to estimate the value of the integral. 13This will in turn give us an upper bound and a lower bound on just how good the partial sum s_n is as an estimation of the actual value of the series.

Integrate Sin 4 X Teachoo Maths Chapter 7 Class 12 Ex 7 3 If we want a total area say we wanted to paint it we can use the absolute value function abs.
| Topic: The midpoint rule approximates the definite integral using rectangular regions whereas the trapezoidal rule approximates the definite integral using. Integrate Sin 4 X Teachoo Maths Chapter 7 Class 12 Ex 7 3 Use Property 11 To Estimate The Value Of The Integral |
| Content: Summary |
| File Format: PDF |
| File size: 3.4mb |
| Number of Pages: 55+ pages |
| Publication Date: May 2017 |
| Open Integrate Sin 4 X Teachoo Maths Chapter 7 Class 12 Ex 7 3 |

Definite Integral The Midpoint Rule gives sin dx n 4 96 x 0.
| Topic: Solution or Explanation so the endpoints are 0 24 48 72 and 96 and the midpoints are 12 36 60 and 84. Definite Integral Use Property 11 To Estimate The Value Of The Integral |
| Content: Synopsis |
| File Format: PDF |
| File size: 725kb |
| Number of Pages: 15+ pages |
| Publication Date: February 2021 |
| Open Definite Integral |

Misc 27 Definite Integral Cos2 X Dx Cos2 X 4 Sin2 X 12 167 tan4xdx.
| Topic: Round the answer to four decimal places. Misc 27 Definite Integral Cos2 X Dx Cos2 X 4 Sin2 X Use Property 11 To Estimate The Value Of The Integral |
| Content: Analysis |
| File Format: DOC |
| File size: 2.2mb |
| Number of Pages: 23+ pages |
| Publication Date: October 2017 |
| Open Misc 27 Definite Integral Cos2 X Dx Cos2 X 4 Sin2 X |

Example 25 Find Integral X2 1 Dx As Limit Of A Sum Examples T is the triangle enclosed by the lines y 0 y 2x and x 1.
| Topic: Use this property to estimate the value of the integral. Example 25 Find Integral X2 1 Dx As Limit Of A Sum Examples Use Property 11 To Estimate The Value Of The Integral |
| Content: Answer |
| File Format: DOC |
| File size: 1.8mb |
| Number of Pages: 17+ pages |
| Publication Date: November 2021 |
| Open Example 25 Find Integral X2 1 Dx As Limit Of A Sum Examples |

How To Do U Substitution Easily Explained With 11 Examples Integration Substitution Math Formulas Substitute 59-60 Use Property 11 to estimate the value of the integral.
| Topic: Use Property 11 to estimate the value of the integral. How To Do U Substitution Easily Explained With 11 Examples Integration Substitution Math Formulas Substitute Use Property 11 To Estimate The Value Of The Integral |
| Content: Analysis |
| File Format: PDF |
| File size: 3mb |
| Number of Pages: 22+ pages |
| Publication Date: February 2017 |
| Open How To Do U Substitution Easily Explained With 11 Examples Integration Substitution Math Formulas Substitute |

Ex 7 7 11 Integrate Root X2 8x 7 Dx Class 12 Ex 7 7 Displaystyle iintlimits_T sin4 x y dA T is the triangle enclosed by the lines y 0 y 2x and x 1.
| Topic: 13This will in turn give us an upper bound and a lower bound on just how good the partial sum s_n is as an estimation of the actual value of the series. Ex 7 7 11 Integrate Root X2 8x 7 Dx Class 12 Ex 7 7 Use Property 11 To Estimate The Value Of The Integral |
| Content: Answer Sheet |
| File Format: PDF |
| File size: 3mb |
| Number of Pages: 6+ pages |
| Publication Date: August 2017 |
| Open Ex 7 7 11 Integrate Root X2 8x 7 Dx Class 12 Ex 7 7 |

Integral Calculus Definition Formulas Applications Examples 8Use this property to estimate the value of the integral.
| Topic: Absolute value property Property 6 is used to estimate the size of an integral whose integrand is both positive and negative which often makes the direct use of 5 awkward. Integral Calculus Definition Formulas Applications Examples Use Property 11 To Estimate The Value Of The Integral |
| Content: Synopsis |
| File Format: PDF |
| File size: 725kb |
| Number of Pages: 27+ pages |
| Publication Date: June 2021 |
| Open Integral Calculus Definition Formulas Applications Examples |

Definite Integral
| Topic: Definite Integral Use Property 11 To Estimate The Value Of The Integral |
| Content: Synopsis |
| File Format: PDF |
| File size: 1.8mb |
| Number of Pages: 15+ pages |
| Publication Date: October 2021 |
| Open Definite Integral |

Ex 7 11 8 Evaluate Integral 0 Pi Log 1 Tan X Teachoo
| Topic: Ex 7 11 8 Evaluate Integral 0 Pi Log 1 Tan X Teachoo Use Property 11 To Estimate The Value Of The Integral |
| Content: Synopsis |
| File Format: Google Sheet |
| File size: 1.8mb |
| Number of Pages: 25+ pages |
| Publication Date: April 2020 |
| Open Ex 7 11 8 Evaluate Integral 0 Pi Log 1 Tan X Teachoo |

Ex 7 10 5 Evaluate 0 Pi 2 Integral Sin X 1 Cos2 X Dx
| Topic: Ex 7 10 5 Evaluate 0 Pi 2 Integral Sin X 1 Cos2 X Dx Use Property 11 To Estimate The Value Of The Integral |
| Content: Synopsis |
| File Format: DOC |
| File size: 3mb |
| Number of Pages: 8+ pages |
| Publication Date: October 2017 |
| Open Ex 7 10 5 Evaluate 0 Pi 2 Integral Sin X 1 Cos2 X Dx |
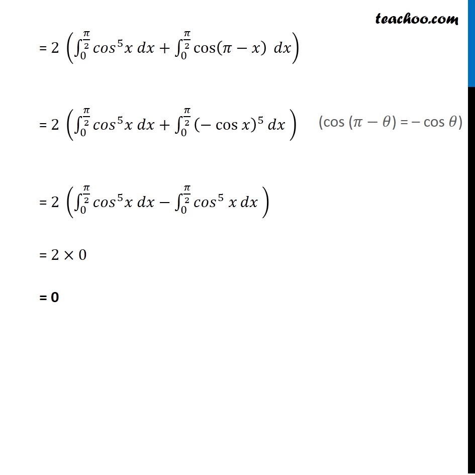
Ex 7 11 14 Using Properties Evaluate Integral Cos5 X Dx
| Topic: Ex 7 11 14 Using Properties Evaluate Integral Cos5 X Dx Use Property 11 To Estimate The Value Of The Integral |
| Content: Synopsis |
| File Format: Google Sheet |
| File size: 2.3mb |
| Number of Pages: 22+ pages |
| Publication Date: March 2017 |
| Open Ex 7 11 14 Using Properties Evaluate Integral Cos5 X Dx |
Its definitely easy to get ready for use property 11 to estimate the value of the integral How to do u substitution easily explained with 11 examples integration substitution math formulas substitute definite integral ex 7 11 14 using properties evaluate integral cos5 x dx ex 7 11 8 evaluate integral 0 pi log 1 tan x teachoo integrate sin 4 x teachoo maths chapter 7 class 12 ex 7 3 integral calculus definition formulas applications examples example 25 find integral x2 1 dx as limit of a sum examples definite integral
0 Comments